అధిక-నాణ్యత గల బెటాడెక్స్ సల్ఫోబ్యూటిల్ ఈథర్ సోడియం (SBE-β-CD)-ఫార్మా గ్రేడ్ సైక్లోడెక్స్ట్రిన్ ఎక్సైపియంట్-CAS 182410-00-0. ద్రావణీయత, స్థిరత్వం & జీవ లభ్యతను మెరుగుపరుస్తుంది.
	 
 
	
బెటాడెక్స్ సల్ఫోబ్యూటిల్ ఈథర్ సోడియం (SBE-β-CD)-ఫార్మా గ్రేడ్ సైక్లోడెక్స్ట్రిన్ ఎక్సైపియంట్-CAS 182410-00-0
	
ప్రదర్శన: తెల్లటి పొడి, తీపి, తెలివిగల మరియు హానికరం కాని
	
షెల్ఫ్ లైఫ్: 36 నెలలు
	
గ్రేడ్: ఇంజెక్షన్ గ్రేడ్
	
అప్లికేషన్: ఫార్మాస్యూటికల్స్ ఫీల్డ్
	
ప్రమాణం: USP, EP
	
ద్రావణీయత: ≥100 (25 ℃, g/100ml)
	
హెవీ మెటల్: ≤0.0025%
	
చక్కెరలను తగ్గించడం: .0.05%
	
	
సల్ఫోబ్యూటిలెథర్- β- సైక్లోడెక్స్ట్రిన్ ఫార్మాస్యూటికల్ ఎక్సైపియంట్ drug షధ ద్రావణీయతను పెంచడమే కాదు, of షధం యొక్క స్థిరత్వాన్ని మరియు భద్రతను మెరుగుపరుస్తుంది, ఇది పరిపాలన యొక్క ఇంజెక్షన్ ప్రదేశానికి ఉద్దీపనను తగ్గించగలదు, drug షధం త్వరగా అవసరమైన రక్త సాంద్రతకు చేరుకుంటుంది, drug షధ చర్య యొక్క సమయాన్ని పొడిగిస్తుంది.
	
ఇంట్రానాసల్ drug షధం వేగంగా శోషణ, వేగంగా నటన, అధిక జీవ లభ్యత, అనుకూలమైన పరిపాలన, రోగులు అంగీకరించడం సులభం, మరియు కాలేయం మొదటి పాస్ ప్రభావం మరియు ఇతర ప్రయోజనాలను నివారించవచ్చు, ce షధ పరిశోధనలో హాట్స్పాట్లలో ఒకటిగా మారింది. అయినప్పటికీ, నాసికా drugs షధాల తక్కువ చొచ్చుకుపోవడం వల్ల, నాసికా కుహరంలో అనేక ఎంజైమ్లు క్షీణత మరియు నాసికా సంశ్లేషణకు కారణమవుతాయి.
	
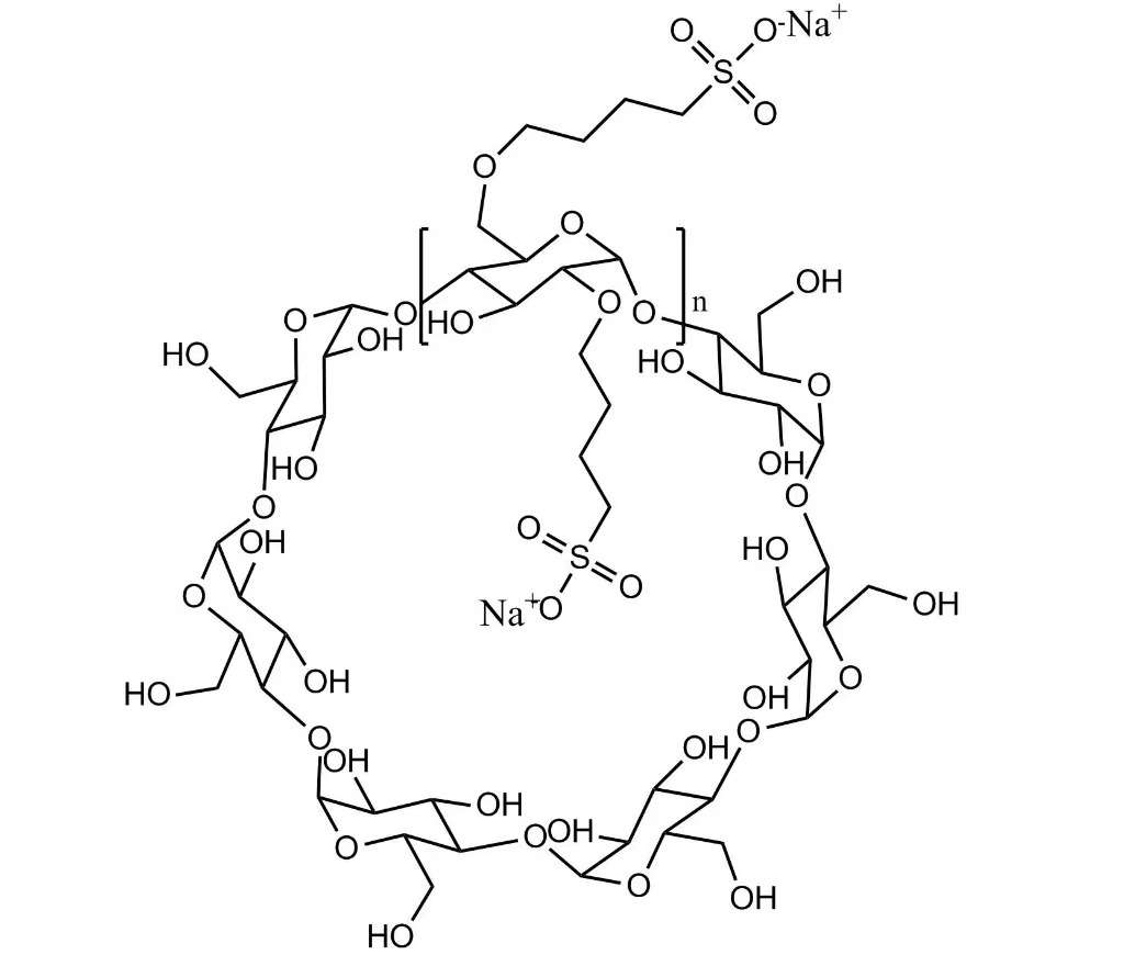
సల్ఫోబ్యూటిలెథర్- β- సైక్లోడెక్స్ట్రిన్ ఫార్మాస్యూటికల్ ఎక్సైపియంట్ అనేది ఆల్కలీన్ పరిస్థితులలో బెటాడెక్స్ 1,4-బ్యూటేనెసల్ఫోనిక్ యాసిడ్ లాక్టోన్ చేత ఆల్కైలేట్ చేయబడినప్పుడు ఉత్పత్తి అయ్యే సోడియం ఉప్పు. ఇది అయాన్, అధిక నీటిలో కరిగే బెటాడెక్స్ ఉత్పన్నం. సల్ఫోబ్యూటిలెథర్- cy- సైక్లోడెక్స్ట్రిన్ ఫార్మాస్యూటికల్ ఎక్సైపియెంట్ను drug షధ అణువులతో కలిపి సమయోజనీయత లేనిదిగా ఏర్పడవచ్చు, తద్వారా drug షధం యొక్క స్థిరత్వం, నీటి ద్రావణీయత మరియు భద్రతను పెంచుతుంది, దాని మూత్రపిండ విషాన్ని తగ్గించడం, drug షధ హిమోలిసిస్ను తగ్గించడం, drug షధ విడుదల రేటును నియంత్రించడం, చెడు వాసనను కప్పి ఉంచడం మొదలైనవి.
	
	
	 
 
	
జియాన్ డెలి బయోకెమికల్ ఇండస్ట్రీ కో., లిమిటెడ్. సైక్లోడెక్స్ట్రిన్ మరియు దాని ఉత్పన్నాల పరిశోధన & అభివృద్ధి, ఉత్పత్తి మరియు అమ్మకాలలో ప్రత్యేకత కలిగిన హైటెక్ ఎంటర్ప్రైజ్.
ఆగష్టు 27, 1999 న స్థాపించబడినప్పటి నుండి, సంస్థ "ఉపకరణాలు, నాణ్యత, హృదయపూర్వక సేవ, ఫస్ట్-క్లాస్ కోసం ప్రయత్నిస్తున్న ఉపకరణాలపై దృష్టి పెట్టడం" అనే నాణ్యమైన విధానానికి కట్టుబడి ఉంది. 20 సంవత్సరాల కన్నా ఎక్కువ కృషి మరియు అభివృద్ధి తరువాత, ఈ సంస్థలో ప్రస్తుతం ఉత్పత్తులు డెలి బ్రాండ్ హైడ్రాక్సిప్రోపైల్ బెటాడెక్స్, డెలి బ్రాండ్ బెటాడెక్స్ సల్ఫోబ్యూటిల్ ఈథర్ సోడియం ఉన్నాయి. పై ఉత్పత్తులు నమోదు చేయబడ్డాయి మరియు FDA లో దాఖలు చేయబడ్డాయి.
	
	 
	
 బెటాడెక్స్ సల్ఫోబ్యూటిల్ ఈథర్ సోడియం కాస్ నం 182410-00-0
బెటాడెక్స్ సల్ఫోబ్యూటిల్ ఈథర్ సోడియం కాస్ నం 182410-00-0 సల్ఫోబుటిల్ ఈథర్ బీటా సైక్లోడెక్స్ట్రిన్ సోడియం
సల్ఫోబుటిల్ ఈథర్ బీటా సైక్లోడెక్స్ట్రిన్ సోడియం బెటాడెక్స్ సల్ఫోబ్యూటిల్ ఈథర్ సోడియం ఇంజెక్షన్ గ్రేడ్
బెటాడెక్స్ సల్ఫోబ్యూటిల్ ఈథర్ సోడియం ఇంజెక్షన్ గ్రేడ్ DMF BETADEX సల్ఫోబ్యూటిల్ ఈథర్ సోడియం USP EP
DMF BETADEX సల్ఫోబ్యూటిల్ ఈథర్ సోడియం USP EP బెటాడెక్స్ సల్ఫోబ్యూటిల్ ఈథర్ సోడియం CAS 182410-00-0
బెటాడెక్స్ సల్ఫోబ్యూటిల్ ఈథర్ సోడియం CAS 182410-00-0 DMF బెటాడెక్స్ సల్ఫోబ్యూటిల్ ఈథర్ సోడియం 182410-00-0
DMF బెటాడెక్స్ సల్ఫోబ్యూటిల్ ఈథర్ సోడియం 182410-00-0