ఇంజెక్టబుల్ సల్ఫోబ్యూటిల్ ఈథర్ బీటా సైక్లోడెక్స్ట్రిన్ అనేది పేరెంటరల్ డ్రగ్ ఫార్ములేషన్స్కు ప్రీమియం ఎక్సిపియెంట్. Xi'an DELI బయోకెమికల్ స్థిరమైన నాణ్యత మరియు సాంకేతిక మద్దతుతో అధిక స్వచ్ఛత SBEβCDని అందిస్తుంది. నమూనాలు మరియు వివరణాత్మక ఉత్పత్తి సమాచారం కోసం ఈరోజు మమ్మల్ని సంప్రదించండి.
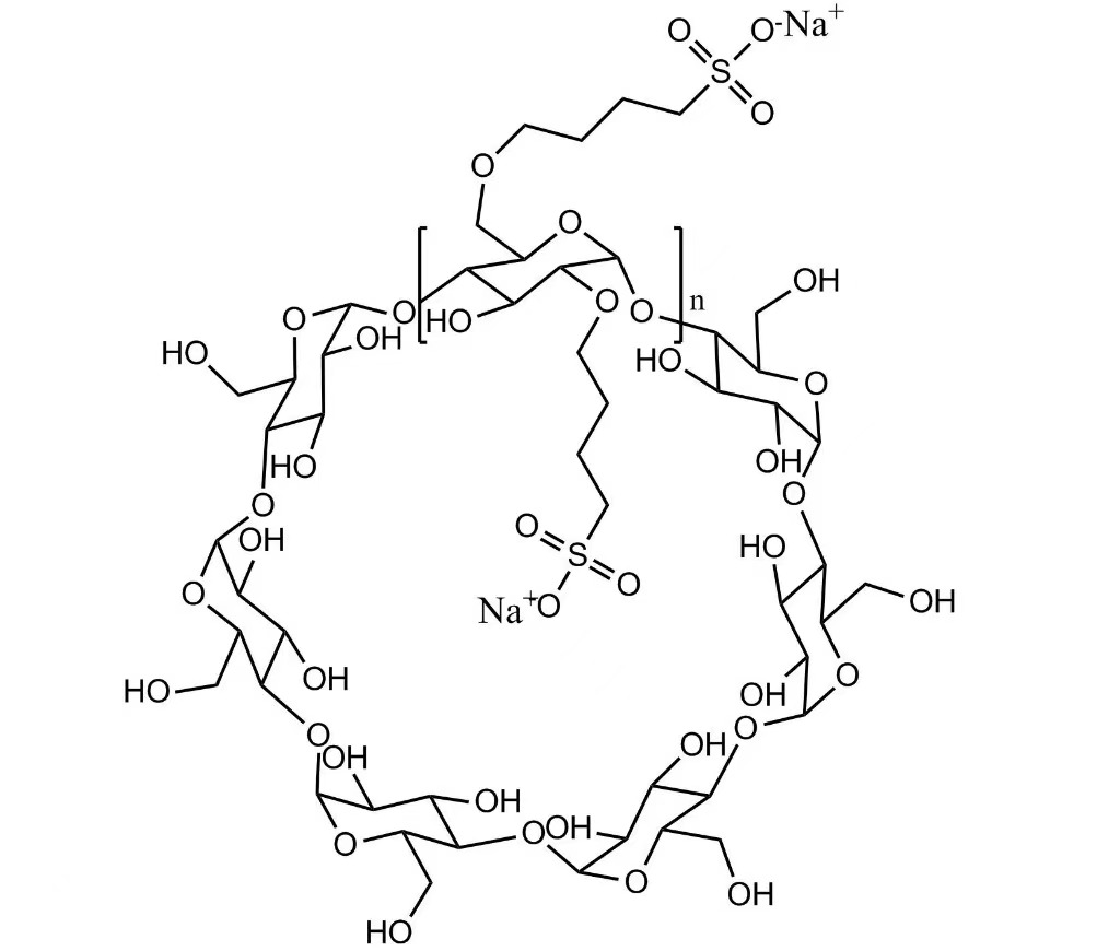
ఇంజెక్షన్ సల్ఫోబ్యూటిల్ ఈథర్ బీటా సైక్లోడెక్స్ట్రిన్(SBEβCD) అనేది అధిక-స్వచ్ఛత, నీటిలో కరిగే సైక్లోడెక్స్ట్రిన్ ఉత్పన్నం కోసం ప్రత్యేకంగా రూపొందించబడింది.ఇంజెక్షన్ మరియు పేరెంటరల్ డ్రగ్ ఫార్ములేషన్స్. ఇది పేలవంగా కరిగే క్రియాశీల ఔషధ పదార్ధాల (APIలు) యొక్క ద్రావణీయత, స్థిరత్వం మరియు జీవ లభ్యతను పెంచుతుంది, స్థిరమైన ఔషధ పంపిణీ మరియు చికిత్సా పనితీరును నిర్ధారించే స్థిరమైన చేరిక కాంప్లెక్స్లను ఏర్పరుస్తుంది.
ఇంట్రావీనస్, ఇంట్రామస్కులర్ మరియు సబ్కటానియస్ అప్లికేషన్లకు అనుకూలం,SBEβCDఅవపాతం నిరోధిస్తుంది, రసాయన క్షీణతను తగ్గిస్తుంది మరియు ఆప్తాల్మిక్ సొల్యూషన్స్, నాసల్ స్ప్రేలు మరియు ఇతర ద్రవ సూత్రీకరణలలో సున్నితమైన APIలకు మద్దతు ఇస్తుంది. దాని అద్భుతమైన నీటిలో ద్రావణీయత, తక్కువ విషపూరితం మరియు బయో కాంపాబిలిటీ పరిశోధన, క్లినికల్ డెవలప్మెంట్ మరియు కమర్షియల్ ఇంజెక్టబుల్ ప్రొడక్ట్ల కోసం దీనిని ఇష్టపడే ఎక్సిపియెంట్గా చేస్తుంది.
Xi'an DELI బయోకెమికల్ ఇండస్ట్రీ కో., లిమిటెడ్., 1999లో స్థాపించబడింది, SBECD మరియు Hydroxypropyl Betadexతో సహా cyclodextrin డెరివేటివ్లను ఉత్పత్తి చేయడంలో 26 సంవత్సరాల అనుభవం ఉంది. కంపెనీ ఫార్మాస్యూటికల్, వెటర్నరీ మరియు కాస్మెటిక్ మార్కెట్లకు ఖచ్చితమైన నాణ్యత నియంత్రణ, సాంకేతిక మద్దతు మరియు విశ్వసనీయ ప్రపంచ సరఫరాతో స్థిరమైన అధిక-స్వచ్ఛత ఉత్పత్తులను అందిస్తుంది. మీ సూత్రీకరణ అభివృద్ధికి మద్దతుగా విశ్లేషణ సర్టిఫికెట్లు (COA), సాంకేతిక డేటా మరియు నమూనా మూల్యాంకనాలు అందుబాటులో ఉన్నాయి.
నమూనాలు, సాంకేతిక డేటా లేదా కొటేషన్ కోసం అభ్యర్థించడానికి ఈరోజే మమ్మల్ని సంప్రదించండిఇంజెక్ట్ చేయగల సల్ఫోబ్యూటిల్ ఈథర్ బీటా సైక్లోడెక్స్ట్రిన్ (SBEβCD)మరియు మీ ఇంజెక్ట్ చేయగల సూత్రీకరణల యొక్క ద్రావణీయత, స్థిరత్వం మరియు పనితీరును మెరుగుపరచండి.

Betadex Sulfobutyl ఈథర్ సోడియం CAS NO 182410-00-0
Sulfobutyl ఈథర్ బీటా Cyclodextrin సోడియం
Betadex Sulfobutyl ఈథర్ సోడియం ఇంజెక్షన్ గ్రేడ్
బెటాడెక్స్ సల్ఫోబ్యూటిల్ ఈథర్ సోడియం SBECD డ్రగ్ ఫార్ములేషన్స్ కోసం ఇంజెక్టబుల్ గ్రేడ్
Betadex Sulfobutyl ఈథర్ సోడియం CAS 182410-00-0
DMF బీటాడెక్స్ సల్ఫోబ్యూటిల్ ఈథర్ సోడియం 182410-00-0