కీలకపదాలు:బీటాడెక్స్ సల్ఫోబ్యూటిల్ ఈథర్ సోడియం
బీటాడెక్స్ సల్ఫోబ్యూటిల్ ఈథర్ సోడియంఫార్మాస్యూటికల్ ఎక్సైయెంట్ టెక్నాలజీలో విప్లవాత్మక మార్పులు చేసింది. ఈ అత్యంత నీటిలో కరిగే సైక్లోడెక్స్ట్రిన్ ఉత్పన్నం క్రియాశీల ఔషధ పదార్ధాలతో (APIలు) స్థిరమైన ఇన్క్లూషన్ కాంప్లెక్స్లను ఏర్పరుస్తుంది, ఇది గతంలో పేలవమైన ద్రావణీయత మరియు అస్థిరతతో పరిమితం చేయబడిన మందులను రూపొందించడం సాధ్యపడుతుంది.
ఇంజెక్షన్ డ్రగ్ ద్రావణీయత, జీవ లభ్యత మరియు భద్రతను గణనీయంగా మెరుగుపరచడం ద్వారా, ఆధునిక డ్రగ్ డెలివరీ సిస్టమ్స్లో బీటాడెక్స్ సల్ఫోబ్యూటిల్ ఈథర్ సోడియం కీలకమైన అంశంగా మారింది. దాని ప్రత్యేకమైన పరమాణు నిర్మాణం హైడ్రోఫోబిక్ డ్రగ్ అణువులను సమర్థవంతమైన పరమాణు ఎన్క్యాప్సులేషన్ ద్వారా వైద్యపరంగా ఆచరణీయంగా మార్చడానికి అనుమతిస్తుంది.
పేలవంగా కరిగే సమ్మేళనాలు ఔషధ పంపిణీ వ్యవస్థలను సవాలు చేస్తూనే ఉన్నాయి. సాంప్రదాయిక సూత్రీకరణ వ్యూహాలు తరచుగా తగినంత ద్రావణీయత లేదా స్థిరత్వాన్ని సాధించడంలో విఫలమవుతాయి, చాలా మంది ఆశాజనకమైన ఔషధ అభ్యర్థులను రోగులకు చేరకుండా నిరోధిస్తాయి. ఆధునిక ఫార్మాస్యూటికల్ పరిశోధన రోగి భద్రతను కొనసాగిస్తూ ఈ పరిమితులను అధిగమించడానికి అధునాతన సహాయక పదార్థాలపై ఎక్కువగా ఆధారపడుతుంది.

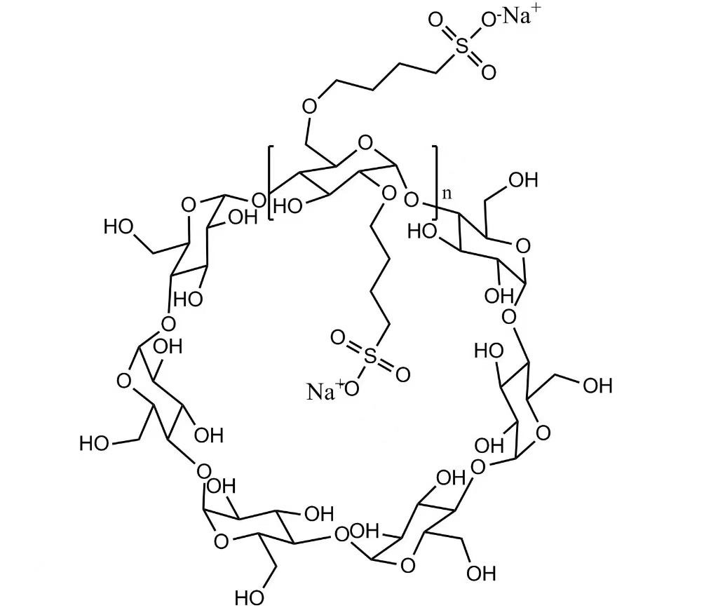
సల్ఫోబ్యూటిల్ ఈథర్ సైక్లోడెక్స్ట్రిన్బీటా-సైక్లోడెక్స్ట్రిన్ వెన్నెముకపై సల్ఫోబ్యూటిల్ సమూహాలను ప్రవేశపెట్టడం ద్వారా సృష్టించబడిన అయానిక్ సైక్లోడెక్స్ట్రిన్ ఉత్పన్నం. ఈ నిర్మాణ మార్పు స్థానిక సైక్లోడెక్స్ట్రిన్లతో పోలిస్తే సజల ద్రావణీయతను నాటకీయంగా పెంచుతుంది.
ఎక్సిపియెంట్ ఔషధ అణువులతో నాన్-కోవాలెంట్ ఇన్క్లూజన్ కాంప్లెక్స్లను ఏర్పరుస్తుంది. సైక్లోడెక్స్ట్రిన్ యొక్క హైడ్రోఫోబిక్ లోపలి కుహరం లిపోఫిలిక్ APIలను హోస్ట్ చేస్తుంది, అయితే హైడ్రోఫిలిక్ బాహ్య ఉపరితలం నీటిలో కరిగే సామర్థ్యాన్ని నిర్వహిస్తుంది. ఈ ఎన్క్యాప్సులేషన్ ఫార్మకోకైనటిక్స్ను మెరుగుపరుస్తుంది మరియు రసాయన క్షీణత నుండి సున్నితమైన సమ్మేళనాలను రక్షిస్తుంది.
ప్రత్యామ్నాయం యొక్క డిగ్రీ నేరుగా ద్రావణీయత సామర్థ్యాన్ని ప్రభావితం చేస్తుంది. అధిక ప్రత్యామ్నాయ స్థాయిలు ద్రావణీయతను మెరుగుపరుస్తాయి, అయితే సరైన పనితీరుకు భద్రతతో సాల్యుబిలైజింగ్ శక్తిని సమతుల్యం చేయడం అవసరం.
శాస్త్రీయ అధ్యయనాలు Betadex Sulfobutyl ఈథర్ సోడియం తక్కువ హేమోలిటిక్ చర్యను ప్రదర్శిస్తుంది మరియు అనేక సాంప్రదాయిక ద్రావణాలతో పోలిస్తే మూత్రపిండ సంచితం తగ్గిపోతుంది, ఇది పునరావృతమయ్యే పేరెంటరల్ పరిపాలనకు అనుకూలంగా ఉంటుంది.
అనేక యాంటీ ఫంగల్ ఏజెంట్లు పేలవమైన నీటిలో కరిగే సామర్థ్యంతో బాధపడుతున్నారు, వాటి ఇంజెక్షన్ వాడకాన్ని పరిమితం చేస్తారు. Betadex Sulfobutyl ఈథర్ సోడియం వోరికోనజోల్ మరియు పోసాకోనజోల్ వంటి మందులతో స్థిరమైన కాంప్లెక్స్లను ఏర్పరుస్తుంది, సమర్థవంతమైన ఇంజెక్షన్ సూత్రీకరణలను అనుమతిస్తుంది.
ద్రావణీయత మెరుగుదలకు మించి, సంక్లిష్టత pH సహనం మరియు నిల్వ స్థిరత్వాన్ని పెంచుతుంది, షెల్ఫ్ జీవితాన్ని పొడిగిస్తుంది మరియు ఇన్వాసివ్ ఫంగల్ ఇన్ఫెక్షన్ల కోసం చికిత్సా ఫలితాలను మెరుగుపరుస్తుంది.
యాంటీవైరల్ మందులు తరచుగా పేరెంటరల్ డెలివరీని నిరోధించే ద్రావణీయత అడ్డంకులను ఎదుర్కొంటాయి. Sulfobutyl ఈథర్ సైక్లోడెక్స్ట్రిన్ APIలను క్షీణత నుండి రక్షించడం మరియు నియంత్రిత విడుదలను ప్రారంభించడం ద్వారా స్థిరమైన ఇంజెక్ట్ చేయగల సూత్రీకరణలను ప్రారంభిస్తుంది.
రెమ్డెసివిర్ సూత్రీకరణల విజయం తీవ్రమైన వైరల్ ఇన్ఫెక్షన్లకు చికిత్స చేయడంలో సైక్లోడెక్స్ట్రిన్-ఆధారిత ద్రావణీకరణ యొక్క ప్రాముఖ్యతను హైలైట్ చేస్తుంది, ఇక్కడ వేగవంతమైన మరియు విశ్వసనీయమైన డ్రగ్ డెలివరీ కీలకం.
అనేక యాంటీకాన్సర్ ఏజెంట్లు తక్కువ సజల ద్రావణీయతను ప్రదర్శిస్తాయి, క్లినికల్ అభివృద్ధికి ఆటంకం కలిగిస్తాయి. Betadex Sulfobutyl ఈథర్ సోడియం అనుకూలమైన భద్రతా ప్రొఫైల్ను కొనసాగిస్తూ ఈ శక్తివంతమైన సమ్మేళనాలను రూపొందించడానికి అనుమతిస్తుంది.
దాని తక్కువ కణజాలం చేరడం మరియు తగ్గిన విషపూరితం ముఖ్యంగా ఆంకాలజీ చికిత్సలకు పదే పదే మోతాదు అవసరం, మెరుగైన సహనంతో అధిక చికిత్సా బహిర్గతం చేయడాన్ని అనుమతిస్తుంది.
ఎమర్జెన్సీ కార్డియోవాస్కులర్ కేర్ తరచుగా వేగవంతమైన ప్రారంభంతో ఇంజెక్ట్ చేయగల మందులపై ఆధారపడుతుంది. ఈ ఎక్సిపియెంట్ పేలవంగా కరిగే కార్డియోయాక్టివ్ ఏజెంట్ల స్థిరమైన సూత్రీకరణలను అనుమతిస్తుంది.
Betadex Sulfobutyl ఈథర్ సోడియం యొక్క తక్కువ హేమోలిటిక్ చర్య, హేమోలిటిక్ ఒత్తిడిని తట్టుకోలేని రాజీ గుండె పనితీరు ఉన్న రోగులకు ఇది ప్రత్యేకంగా అనుకూలంగా ఉంటుంది.
పీడియాట్రిక్ మరియు వృద్ధాప్య రోగులు తరచుగా నోటి మోతాదు రూపాలతో సవాళ్లను ఎదుర్కొంటారు. సల్ఫోబ్యూటైల్ ఈథర్ సైక్లోడెక్స్ట్రిన్ని ఉపయోగించి ఇంజెక్ట్ చేయగల మరియు ద్రవ సూత్రీకరణలు వయస్సు వర్గాలకు నమ్మదగిన డ్రగ్ డెలివరీని అందిస్తాయి.
మాలిక్యులర్ ఎన్క్యాప్సులేషన్ అసహ్యకరమైన రుచిని కూడా ముసుగు చేస్తుంది, రోగి సమ్మతిని మెరుగుపరుస్తుంది, ముఖ్యంగా పిల్లల సూత్రీకరణలలో.
అరుదైన వ్యాధి చికిత్సలు తరచుగా సంక్లిష్ట భౌతిక రసాయన లక్షణాలతో APIలను కలిగి ఉంటాయి. Betadex Sulfobutyl ఈథర్ సోడియం విస్తృతమైన ఎక్సైపియెంట్ రీడెవలప్మెంట్ లేకుండా ద్రావణీయత సవాళ్లను అధిగమించడంలో సహాయపడుతుంది.
దాని ఏర్పాటు చేసిన భద్రతా ప్రొఫైల్ మరియు స్కేలబుల్ తయారీ నియంత్రణ మరియు అభివృద్ధి ప్రమాదాలను తగ్గిస్తుంది, అనాథ ఔషధ వాణిజ్యీకరణను వేగవంతం చేస్తుంది.
సైక్లోడెక్స్ట్రిన్ ఎన్క్యాప్సులేషన్ APIలను జలవిశ్లేషణ, ఆక్సీకరణ మరియు ఫోటోడిగ్రేడేషన్ నుండి భౌతికంగా రియాక్టివ్ సమూహాలను రక్షించడం ద్వారా రక్షిస్తుంది.
ఈ స్థిరత్వ మెరుగుదల ప్రపంచ పంపిణీకి మద్దతు ఇస్తుంది, ముఖ్యంగా పరిమిత కోల్డ్-చైన్ ఇన్ఫ్రాస్ట్రక్చర్ ఉన్న ప్రాంతాలలో.
Xi'an Deli బయోకెమికల్ ఇండస్ట్రీ Co., Ltd. సైక్లోడెక్స్ట్రిన్ తయారీలో 26 సంవత్సరాలకు పైగా నైపుణ్యాన్ని అందిస్తుంది. ప్రతి బ్యాచ్ ప్రత్యామ్నాయ డిగ్రీ, మలినాలను మరియు ఎండోటాక్సిన్ల కోసం కఠినంగా పరీక్షించబడుతుంది.
వార్షిక ఉత్పత్తి సామర్థ్యం 200 మెట్రిక్ టన్నుల కంటే ఎక్కువ Betadex Sulfobutyl ఈథర్ సోడియం, మా సౌకర్యాలు క్లినికల్ మరియు వాణిజ్య అనువర్తనాలకు స్థిరమైన, దీర్ఘకాలిక సరఫరాను నిర్ధారిస్తాయి.
ధృవీకరించబడిన ఉత్పాదక ప్రక్రియలు బ్యాచ్-టు-బ్యాచ్ వేరియబిలిటీని తగ్గిస్తాయి, ఫార్మాస్యూటికల్ కస్టమర్లు బలమైన మరియు పునరుత్పాదక సూత్రీకరణలను రూపొందించడానికి అనుమతిస్తుంది.

మా ఉత్పత్తులు గ్లోబల్ మార్కెట్లలో స్థిరమైన నాణ్యత మరియు నియంత్రణ విశ్వాసంతో ఔషధ తయారీదారులకు అందించే ప్రధాన ఫార్మాకోపియల్ అవసరాలకు అనుగుణంగా ఉంటాయి.
విస్తరిస్తున్న శాస్త్రీయ సాహిత్యం మరియు నియంత్రణ ఆమోదాలు అధునాతన డ్రగ్ డెలివరీ సిస్టమ్లలో బీటాడెక్స్ సల్ఫోబ్యూటిల్ ఈథర్ సోడియం యొక్క విస్తృత స్వీకరణకు మద్దతునిస్తూనే ఉన్నాయి.
కాంప్లెక్స్ ఫార్మేషన్ కైనటిక్స్ మరియు థర్మోడైనమిక్స్ను ఆప్టిమైజ్ చేయడం కావలసిన ద్రావణీయత మెరుగుదల మరియు ఔషధ విడుదల ప్రొఫైల్లను సాధించడానికి అవసరం.
చేరిక కాంప్లెక్స్లకు APIలను ఖచ్చితంగా లెక్కించడానికి అనుకూల విశ్లేషణ పద్ధతులు అవసరం కావచ్చు. ధృవీకరించబడిన, నిర్దిష్ట విశ్లేషణ పద్ధతులు కీలకం.
బహుళ ఎక్సిపియెంట్లను కలిపి ఉపయోగించినప్పుడు అనుకూలత అధ్యయనాలు దీర్ఘకాలిక సూత్రీకరణ స్థిరత్వాన్ని నిర్ధారిస్తాయి.
జన్యు చికిత్స, కణ చికిత్స మరియు వ్యక్తిగతీకరించిన ఔషధం సైక్లోడెక్స్ట్రిన్-ఆధారిత డెలివరీ సాంకేతికతలకు మంచి ప్రాంతాలను సూచిస్తాయి.
Cyclodextrin ఉత్పన్నాలు నియంత్రిత విడుదల మరియు మెరుగైన స్థిరత్వంతో స్థిర-మోతాదు కలయికలను ప్రారంభిస్తాయి.
నానోపార్టికల్స్తో సైక్లోడెక్స్ట్రిన్లను కలిపే హైబ్రిడ్ సిస్టమ్లు లక్ష్య ఔషధ పంపిణీలో కొత్త సరిహద్దులను తెరుస్తున్నాయి.
ఫార్మాస్యూటికల్ అభివృద్ధి పురోగమిస్తున్న కొద్దీ, Betadex Sulfobutyl ఈథర్ సోడియం అద్భుతమైన సేఫ్టీ ప్రొఫైల్ను కొనసాగిస్తూ సంక్లిష్ట సూత్రీకరణ సవాళ్లను పరిష్కరించడం కొనసాగిస్తుంది. చికిత్సా రంగాలలో దాని బహుముఖ ప్రజ్ఞ అది తదుపరి తరం ఔషధ పంపిణీ వ్యవస్థలకు అవసరమైన సహాయక పదార్థంగా చేస్తుంది.
ప్ర: ఏమి చేస్తుందిసల్ఫోబ్యూటిల్ ఈథర్ సైక్లోడెక్స్ట్రిన్ఇతర కరిగే ఏజెంట్ల కంటే మెరుగైనదా?
A: ఇది సేంద్రీయ ద్రావకాలు మరియు సర్ఫ్యాక్టెంట్లతో పోలిస్తే తక్కువ విషపూరితం, తగ్గిన హేమోలిసిస్, రివర్సిబుల్ కాంప్లెకేషన్ మరియు మెరుగైన ఔషధ స్థిరత్వాన్ని అందిస్తుంది.
ప్ర: ప్రత్యామ్నాయం యొక్క డిగ్రీ పనితీరును ఎలా ప్రభావితం చేస్తుంది?
A: అధిక ప్రత్యామ్నాయం ద్రావణీయతను మెరుగుపరుస్తుంది, కానీ సరైన పనితీరుకు సాలబిలైజేషన్ సామర్థ్యం మరియు భద్రతను సమతుల్యం చేయడం అవసరం.
ప్ర: నోటి సూత్రీకరణలలో దీనిని ఉపయోగించవచ్చా?
A: అవును, ప్రాథమికంగా ఇంజెక్షన్ల కోసం రూపొందించబడినప్పటికీ, చికిత్సా ప్రయోజనం ద్వారా సమర్థించబడినప్పుడు ఇది నోటి సూత్రీకరణలలో ద్రావణీయతను పెంచుతుంది.
బీటాడెక్స్ సల్ఫోబ్యూటిల్ ఈథర్ సోడియంXi'an Deli Biochemical Industry Co., Ltd వద్ద మమ్మల్ని సంప్రదించండిxadl@xadl.comమరింత తెలుసుకోవడానికి.