Betadex Sulfobutyl ఈథర్ సోడియం ఇంజెక్టబుల్ ఫార్మాస్యూటికల్ ఎక్సైపియెంట్ EP USP గ్రేడ్

Betadex Sulfobutyl ఈథర్ సోడియం ఇంజెక్టబుల్ ఫార్మాస్యూటికల్ ఎక్సైపియెంట్ EP USP గ్రేడ్

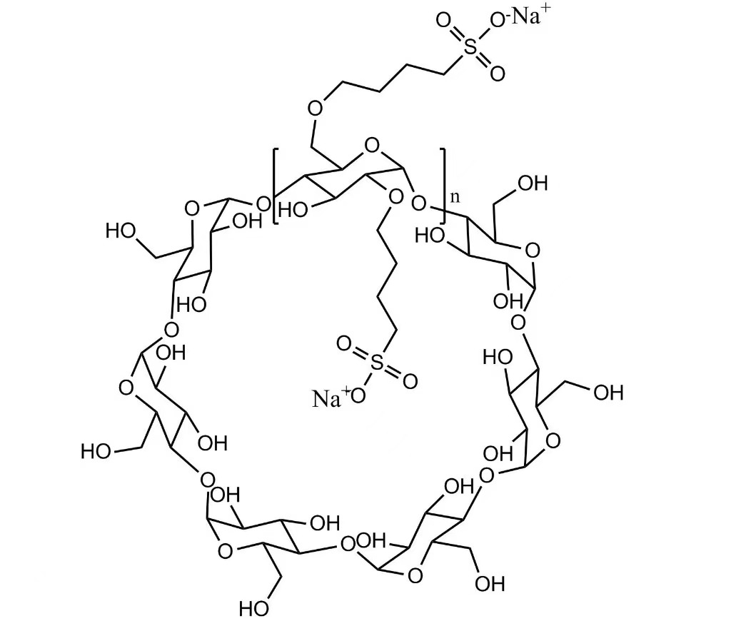
Betadex Sulfobutyl ఈథర్ సోడియం ఇంజెక్టబుల్ ఫార్మాస్యూటికల్ ఎక్సైపియెంట్ EP USP గ్రేడ్ (CAS 182410-00-0) అనేది నీటిలో కరిగే అధిక సైక్లోడెక్స్ట్రిన్ ఉత్పన్నం.

విచారణ పంపండి

ఉత్పత్తి వివరణ

జియాన్ డెలి బయోకెమికల్ ఇండస్ట్రీ కో., లిమిటెడ్.సైక్లోడెక్స్ట్రిన్ డెరివేటివ్‌ల పరిశోధన, అభివృద్ధి, ఉత్పత్తి మరియు అమ్మకాలలో ప్రత్యేకత కలిగిన హై-టెక్ సంస్థ. 1999లో స్థాపించబడిన ఈ కంపెనీకి ఫార్మాస్యూటికల్ ఎక్సిపియెంట్స్‌లో 25 సంవత్సరాల అనుభవం ఉంది.హైడ్రాక్సీప్రోపైల్ బీటాడెక్స్ (HPBCD)మరియుబీటాడెక్స్ సల్ఫోబ్యూటిల్ ఈథర్ సోడియం (SBECD). కంపెనీ గ్లోబల్ ఫార్మాస్యూటికల్ అప్లికేషన్‌ల కోసం అధిక-నాణ్యత, స్థిరమైన మరియు స్థిరమైన ఉత్పత్తులను నిర్ధారిస్తూ ప్రత్యేక శుభ్రమైన ప్రాంతాలు మరియు అధునాతన ఉత్పత్తి మార్గాలను నిర్వహిస్తుంది.

ఉత్పత్తి వివరణ

Betadex Sulfobutyl ఈథర్ సోడియం ఇంజెక్టబుల్ ఫార్మాస్యూటికల్ ఎక్సైపియెంట్ EP USP గ్రేడ్(CAS 182410-00-0) అనేది అత్యంత నీటిలో కరిగే అయానిక్ సైక్లోడెక్స్ట్రిన్ ఉత్పన్నం. SBECD సోలబిలైజర్, చెమ్మగిల్లడం ఏజెంట్, చీలేటింగ్ ఏజెంట్ మరియు మాస్కింగ్ ఏజెంట్‌గా పనిచేస్తుంది, ఇంజెక్షన్, నోటి, నాసికా మరియు ఆప్తాల్మిక్ సూత్రీకరణలలో డ్రగ్ ద్రావణీయత, స్థిరత్వం మరియు భద్రతను పెంచుతుంది. SBECD యాంటీ ఫంగల్, యాంటీవైరల్, కార్డియోవాస్కులర్ మరియు ఆంకాలజీ APIలలో విస్తృతంగా ఉపయోగించబడుతుంది.

ఉత్పత్తి లక్షణాలు

CAS నెం: 182410-00-0
మాలిక్యులర్ ఫార్ములా: C42H70-nO35·(C4H8SO3Na)n
గ్రేడ్: ఇంజెక్షన్, EP మరియు USP కంప్లైంట్
స్వరూపం: తెలుపు నుండి తెల్లని నిరాకార పొడి
అంచనా: ≥99.0%
అప్లికేషన్స్: ఇంజెక్షన్ మరియు పేరెంటరల్ ఫార్మాస్యూటికల్ ఫార్ములేషన్స్
ప్యాకేజింగ్: 500 గ్రా / బ్యాగ్; 1 కిలోలు / బ్యాగ్; 10 కిలోలు / బ్యాగ్; 10 కిలోలు / డ్రమ్; అనుకూలీకరించిన ప్యాకేజింగ్ అందుబాటులో ఉంది
నిల్వ: సీలు మరియు పొడి
షెల్ఫ్ జీవితం: 36 నెలలు
COA / నాణ్యత హామీ: 

SBECD యొక్క ప్రతి బ్యాచ్ USP మరియు EP ఫార్మాకోపియల్ ప్రమాణాలకు అనుగుణంగా పరీక్షా స్వచ్ఛత, బాక్టీరియల్ ఎండోటాక్సిన్, అవశేష ద్రావకాలు, భారీ లోహాలు మరియు ప్రత్యామ్నాయ స్థాయి (DS) కోసం పరీక్షించబడుతుంది.

ఉత్పత్తి అప్లికేషన్లు

Betadex Sulfobutyl ఈథర్ సోడియం (Betadex Sulfobutyl Ether Sodium) ద్రావణీయతను మెరుగుపరచడానికి, మూత్రపిండ విషాన్ని తగ్గించడానికి, హిమోలిసిస్‌ను తగ్గించడానికి మరియు రోగి సమ్మతిని మెరుగుపరచడానికి ఉపయోగిస్తారు. SBECD ఇంట్రావీనస్, ఇంట్రామస్కులర్, నాసికా, నోటి మరియు ఆప్తాల్మిక్ డెలివరీ సిస్టమ్‌లకు అనుకూలంగా ఉంటుంది. ఇది బలహీనమైన ప్రాథమిక మరియు నత్రజని కలిగిన APIలతో చేరిక కాంప్లెక్స్‌లను ఏర్పరుస్తుంది, ఇది స్థిరమైన విడుదల మరియు మెరుగైన స్థిరత్వాన్ని అందిస్తుంది.

హైడ్రాక్సీప్రోపైల్ బీటాడెక్స్ (HPBCD) - ఇంజెక్షన్ మరియు నోటి ఫార్మాస్యూటికల్ ఎక్సిపియెంట్
Betadex Sulfobutyl ఈథర్ సోడియం (SBECD) - ఇంజెక్ట్ చేయగల-గ్రేడ్ సైక్లోడెక్స్ట్రిన్ ఉత్పన్నం

తరచుగా అడిగే ప్రశ్నలు

ప్ర: జియాన్ డెలి బయోకెమికల్ SBECD తయారీదారు?
A: అవును, Xi'an Deli బయోకెమికల్ Betadex Sulfobutyl ఈథర్ సోడియం (SBECD) మరియు HPBCDలను ఉత్పత్తి చేస్తుంది. బీటా సైక్లోడెక్స్ట్రిన్ ఉత్పన్న ఉత్పత్తికి ముడి పదార్థంగా ఉపయోగించబడుతుంది.

ప్ర: నమూనాలు అందుబాటులో ఉన్నాయా?
జ: అవును, మూల్యాంకనం కోసం SBECD నమూనాలు అందుబాటులో ఉన్నాయి.

ప్ర: బ్యాచ్ మరియు వార్షిక ఉత్పత్తి సామర్థ్యం ఎంత?
A: SBECD బ్యాచ్ ఉత్పత్తి సామర్థ్యం 2.5 టన్నులు, మరియు వార్షిక ఉత్పత్తి 200 టన్నులు మించిపోయింది.

ప్ర: ఏ నియంత్రణ పత్రాలు అందించబడ్డాయి?
A: COA, MSDS, స్థిరత్వ డేటా మరియు సాంకేతిక పత్రాలు అన్ని బ్యాచ్‌లకు అందుబాటులో ఉన్నాయి.

ప్ర: షిప్పింగ్ ఎంపికలు?
జ: గాలి, సముద్రం లేదా ఎక్స్‌ప్రెస్ కొరియర్ ద్వారా గ్లోబల్ షిప్పింగ్.

హాట్ ట్యాగ్‌లు: Betadex Sulfobutyl ఈథర్ సోడియం ఇంజెక్టబుల్ ఫార్మాస్యూటికల్ ఎక్సైపియెంట్ EP USP గ్రేడ్, తయారీదారులు, సరఫరాదారులు, చైనా, ఫ్యాక్టరీ, బల్క్, ఉచిత నమూనా, మేడ్ ఇన్ చైనా, స్టాక్‌లో, హోల్‌సేల్, కొనుగోలు

సంబంధిత వర్గం

విచారణ పంపండి

దయచేసి దిగువ ఫారమ్‌లో మీ విచారణను ఇవ్వడానికి సంకోచించకండి. మేము మీకు 24 గంటల్లో ప్రత్యుత్తరం ఇస్తాము.
icon
X
మీకు మెరుగైన బ్రౌజింగ్ అనుభవాన్ని అందించడానికి, సైట్ ట్రాఫిక్‌ను విశ్లేషించడానికి మరియు కంటెంట్‌ను వ్యక్తిగతీకరించడానికి మేము కుక్కీలను ఉపయోగిస్తాము. ఈ సైట్‌ని ఉపయోగించడం ద్వారా, మీరు మా కుక్కీల వినియోగానికి అంగీకరిస్తున్నారు. గోప్యతా విధానం
తిరస్కరించు అంగీకరించు